OXE Binary Maxwell Algo
- Home
- OXE Binary Maxwell Algo
OXE Binary Maxwell Algo
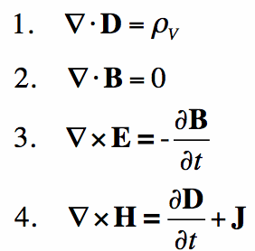
Maxwell’s Equations are a set of 4 complicated equations that describe the world of electromagnetics. These equations describe how magnetic fields propagate, interact, and how they are influenced by objects and numbers.
James Clerk Maxwell [1831-1879] was an Einstein/Newton-level genius who took a set of known experimental laws (Faraday’s Law, Ampere’s Law) and unified them into a symmetric coherent set of Equations known as Maxwell’s Equations.
Maxwell Algo uses the combination of James Clerk Maxwell equations to predict the movement of price. Maxwell Algo determines reversals at a very high quality and is used heavily in modern times by Forex and Binary traders.
Our award winning FX OXE Maxwell Algo is enumerated below for use in binary trading on a 1M time frame and 5M expiry.
Non Repaint, Non Disappearing, Non Back painting
Indicator gives non repaint arrow signals in line with market conditions.
Arrow signals once triggered will never repaint.
Combination of Maxwell Equations & Non Lag Indicators
In addition to the four Maxwell equations algorithm, others indicators included in the Algo are relative strength, bollinger deviations, price action including rejection on key support/resistance levels and trend direction to trigger the most reliable entry signals.
Because of price rejection on key levels of support and resistance, multiple signals may trigger continuously on two or more bars.
Arrow Signals
The Indicator gives clear arrow signals. Just take the signal, nothing else……
Trading Time Frame & Expiry
Maxwell Algo for binary is programmed to work on all time-frames. OXE recommends 5M TF with 5M expiry (1 candle) or 1M time-frame and 5M expiry (5 candles).
Signal Frequency
4-5 signals per pair per day.
https://www.youtube.com/watch?v=cawht7jYlPg&feature=youtu.be









Monthly Rental
- Control over your money
- Works with 1MT4 A/c
- Complete transparency
- Vulnerable environment
- Improved Privacy
- Renewable
Lifetime License
- Lifetime License
- Works with 2MT4 A/c
- Complete transparency
- Vulnerable environment
- Improved privacy
- Full control over fees
Volume License
- Lifetime License
- Full validation
- Complete transparency
- Vulnerable environment
- Improved privacy
- Full control over fees
